The F22V catalog

Summary:
This page describes the F22V wide catalog. It gives: Preliminary notes:
  • This catalog has been generated in the context of the F22I catalog, and cannot really be used independently of it. In particular:
    • To generate the catalog, SExtractor was run in double image mode with the I band image. Objects are detected in the I band, but their flux properties are measured in the V band.
    • The positions of objects in the V catalog are exactly the same (to within round off error) as the corresponding object in the I catalog.
    • No objects are detected in V that are not detected in I. This means one cannot make a V selected sample.
  • The giant SWarped image has been cut in exactly the same way as the I image was, even though one could make a V image that is (just) below the 2Gb cut off. Catalogs were generated from these four quarters and then merged.
  • The V areal coverage is not as extensive as the I. 
  • At this point, I have not put the whole images nor the weight images on /vcom, due to a lack of disk space.
The figure at right shows the coverage F22V coverage. Each box shows the nominal position of the CFH12K exposures. In each box are two numbers, separated by a hyphen. The first shows the total exposure time, the second the total number of exposures.

Description of catalogs:

The relevant files:

Some of these files (for reasons of convenience) are available as links from this page. Others are only available on the VIRMOS disk.
  • F22V.cat: The main catalog in the SExtractor ASCII_HEADER format. The columns are the same as previous catalogs. The original image was split into four quadrants. Catalogs were generated for each of the four quadrants and then merged. The ID numbers follow the VIRMOS database convention (220000001 to 220620572)  and correspond exactly to objects already in the database. The X_IMAGE,Y_IMAGE, ALPHA_J2000 and DELTA_J2000 coordinates are also identical to the database values. The X_IMAGE and Y_IMAGE refer to the full sized image, not the quarter images. Objects which exist in the I image but not the I have values of -99 in all columns.
  • F22V.head: the column names, as output by SExtractor.
  • F22V.box: The masks, one per line (RA_1. Dec_1. RA_2. Dec_2 .in decimal degrees) Objects inside one of these boxes  (ie. RA_1<RA<RA_2 and Dec_1<Dec<Dec_2) are corrupted in some way, be it contamination from a bright source, satellite trail, bad fringing or another source. The list of boxes is based on the list from the F22I. However all boxes outside the F22V region have been removed and a small number of boxes have been added to mask defects that are only in the F22V, mostly gaps in the coverage caused by bad columns in the CCD's.
  • F22V.flags: Flags for the objects. One line per object in F22V.cat, 3 columns: 
    • ID (matches first column of F22V.cat and the VDV)
    • mask flag: 1 if the object is inside one of the boxes in F22V.box (i.e. contaminated), 0 otherwise
    • box flag: 1 if the object is outside the boundaries of the V image, 0 otherwise.
    No star-galaxy separation was performed on the V-image, nor is there a flag for saturated objects.
  • Sub-images: The image was split into quadrants, for easier viewing and extracting sources (note that East = direction of increasing RA)
    • F22Vnw.fits(1.3Gb): North West quadrant
    • F22Vnwb4.fits (83Mb): same, binned 4x4
    • F22Vnw.mask.fits.gz: mask image (1 in masks, 0 outside)
    • F22Vsw.fits(1.4Gb): South West quadrant
    • F22Vswb4.fits (88Mb): the same, binned 4x4
    • F22Vsw.mask.fits.gz: mask image (1 in masks, 0 outside)
    • F22Vne.fits(1.2Gb): North East quadrant
    • F22Vneb4.fits (73Mb): the same, binned 4x4
    • F22Vne.mask.fits.gz: mask image (1 in masks, 0 outside)
    • F22Vse.fits(1.2Gb): South East quadrant
    • F22Vseb4.fits (77Mb): the same, binned 4x4
    • F22Vse.mask.fits.gz: mask image (1 in masks, 0 outside)
  • F22V.log: Detailed log of how the images and catalogs were created. 

Sky area:

A rectangle between:
RA 22:16:28 22:21:52
Dec -00:16:00 +00:51:00
Or in decimal degrees:
RA 334.11666666 335.4666666
Dec -0.2666666 +0.85

Only the eastern border is the same as the F22I.

With allowances for the masked areas, the total area is:  1.137 square degrees.

Masking:

The following areas were masked:
  • Areas near saturated stars. The brighter the star, the larger the contaminated area. This was done automatically, followed by manual touch ups. Bleeding columns that made it into the final stack were also masked.
  • Satellite trails: Despite the fact that the images were combined by taking the median of the input frames, some satellite trails remain.
  • The seams at the joins of the four quadrants were masked with 10'' margins.
  • Areas of bad fringing. 
  • Areas where there was no coverage, due to gaps between adjacent exposures or to bad columns.  

  •  
    The figure at right shows  the layout of the masks in the file F22V.box

    The boundaries of the field are shown in red.

    Notes on reduction procedures:

    This section provides a brief reference for the data reduction procedure. 
  • Exposures used: A complete list of the CFHT CCD frames used in the preparation of this catalog can be found in the file: F22V.imlist. The layout of the observations is shown below.
  • Detrending: The bias, dark current, flat fielding and fringe removal of the frames was performed by: Mssrs: Foucaud, Dantel and Mellier.
  • Astrometric calibration: This was done using the AstroGwyn package. The frames were calibrated to the F22I astrometric catalog. Objects in the data frames were matched with objects in this catalog. Using these matched objects (typically 200-300 per CCD), a second-order distortion correction is computed. This correction is applied to each CCD. 
  • Photometric calibration: This was done using the PhotoGwyn package. Several images were identified has having been taken under photometric conditions. The zero-points for these images were generated at CFHT by the ELIXIR preprocessing software. The zero-point information from the VIRMOS photometric calibration webpage was not used. For longer zero-point discussion see this webpage. The headers of all the images, which contain all the necessary astrometric and photometric calibration information, can be found here. 
  • Image combining: The program SWarp was used to combine the images. The parameters used are in the file F22V.matchswarp.  The header from the F22I image was extracted and used to ensure that the WCS of the F22V image is exactly the same as the F22I image.
  • Image splitting: The resulting image was too large (5.2Gb) to viewed or otherwise processed. It was therefore split into 4 sections using the program toFITS2d.
  • Catalog extraction: Catalogs was extracted from the four sub-images using SExtractor with the following parameter files: 
  • The four catalogs were then merged.
    The figure at right shows the layout of the observations. They are labelled as follows:

    oct003p09
    ^  ^ ^^^
    |  | |||_ 2-digit pointing
    |  | ||__ the letter p
    |  | |___ date: sub run number
    |  |_____ date: 2-digit year
    |________ date: 3-letter month

    Note that the outlines of the observations are determined directly the astrometrically calibrated data frames. There are no apparent gaps in the coverage.


    The figure at right shows how the photometric calibration was done.

    Lower left: layout of the 22hr pointings, outlined in red and labelled in black.

    Upper left: layout of the 22hr pointings. Photometric exposures are in heavy black and labelled "0". Exposures that "touch" (more than 150 common objects) photometric exposures are in red and labelled "1". Exposures that "touch" level 1 exposures are
    outlined in blue and labelled "2" (there's only one, and it's hidden).

    Big right panel: For every exposure, a zero-point was calculated under the (usually erroneous) assumption that it was taken under photometric conditions. This zero-point was calculated using  using the airmass and exposure time from the header and the zero-point for the run. This zero-point is known as the "nominal" or "original" zero-point.

    Some exposures were flagged as being genuinely photometric. These ones are shown in black. For each photometric exposure, zero-points for all the other exposures by comparing magnitudes in the overlap regions. The difference between this "calculated" zero-point and the "nominal" one is plotted along the x-axis. The exposures are labelled by number on the left and by the UTC date and HST time are shown on the right. The colour-coding is the same as the upper left panel: black for directly photometric, red for 1 step removed and blue for 2 steps removed.

    The final zero-point for each exposure is the average of the all the "calculated" zero-points for that exposure.


     
    Data tests:
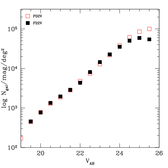
    The figure at right shows the I band galaxy number counts for the F22V together with some data from the literature. The limiting magnitude appears to be VAB=24