Photometric redshifts in the Deep fields

Summary: This page describes the photometric redshift analysis done on the CFHTLS Deep Fields. The actual photometric redshift catalogs are described on the D1, D2, D3 and D4 webpages. The catalogs themselves are linked from these pages as well here:

Input Data:
The images and photometric catalogues used as input to the photometric redshifts are described on the D1, D2, D3 and D4 webpages. Only two things from those pages bear repeating here:
  • The photometry is measured through ellipitcal apertures matched in all bands. In SExtractor parlance, this is MAG_AUTO measured in double-image mode.
  • The photometric zero-points have uncertainties of 0.05 magnitudes in each band. This implies systematic uncertainties in the colours of ~0.07 magnitudes. Simulations have shown that this level of systematic photometric offset can lead to small systematic offsets in the photometric redshifts

Photometric Redshifts:
Photometric redshifts were measured with gwynz which works with the template fitting method.
  • Galaxy spectra (described here) are redshifted and then multiplied by the MegaCam filter curves (described here) to produce spectral templates ranging in type from E/S0 to active starburst and in redshift from z=0 to z=1.5.
  • The galaxy photometry is converted into fluxes per unit Angstrom using the equation Where m is the magnitude, F is the flux and F0 is the flux zeropoint of the filter in question. This produces a coarse spectral energy distribution (SED). Following flux zeropoints were used (in units of W/m2/Angstrom):
    Filterzeropoint
    gAB4.63e-12
    rAB2.83e-12
    iAB1.89e-12
    zAB1.40e-12
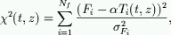
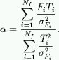
  • The spectral templates were compared to the SED's using the following equation:

    Where Fi is the flux of the galaxy, in the i-th band, σi is the error on the flux Ti(t,z) is the template flux for type t and redshift z, and α  is a normalization factor given by:

    The best matching (smallest chi-squared) template gives the redshift and galaxy type.

Spectroscopic redshifts from the CFRS, DEEP and DEEP2. were retrieved from the web. The assembled redshifts can be found here.

The figure at right shows the configuration. The red lines show the outlines of the MegaCam CCD's. The blue dots, green dots, and black dots show the location of galaxies with spectroscopic redshifts from the CFRS, DEEP and DEEP2 respectively.

The CFRS, DEEP and DEEP2 catalogs were cross referenced with the photometric redshift catalog. For each DEEP or CFRS object, the closest and second closest CFHTLS was found. If the closest CFHTLS object was within 2 arcseconds it was deemed a good match unless there was a second object within 4 arcseconds (this second criteria was to avoid confusion in the case of two nearby galaxies).


The two figures at right show z_phot vs z_spec for the D3 field. The upper one show the results for all the objects with spectroscopic redshifts. The lower one shows the results for galaxies which have at least a 5-sigma detection in the U-band. The heavy red line shows the z_phot=z_spec relation. The lighter lines show +/- 10% in (1+z).

The match between z_phot and z_spec is quite good for the ugriz data and fairly good when only the griz bands are used. The match is significantly better than the pre-Elixir version of these graphs as shown on this webpage, as predicted by simulations.

hile overall the match is quite good, there are a few imperfections. There is a slight (0.05 in z) offset around z=0.5. This is due to the systematic zero-point uncertainties discussed earlier. There is also more scatter at z>1 than is really desirable. This is unavoidable, unless we get some more long wavelength coverage. Finally, there are a few ''catastrophic'' failures, where the photometric redshift shows a significant offset from the corresponding spectroscopic redshift. Some of these are due to bad degeneracy in the colour-redshift relations, but a significant fraction may be due to poor spectroscopic redshift identifications. If one cross-references the CFRS, DEEP and DEEP2 redshift catalogs, one find that there is a certain fraction of the spectroscopic redshifts which are discrepant.

ere is a slight (0.05 in z) offset around z=0.5. This is due to the systematic zero-point uncertainties discussed earlier. There is also more scatter at z>1 than is really desirable. This is unavoidable, unless we get some more long wavelength coverage. Finally, there are a few ''catastrophic'' failures, where the photometric redshift shows a significant offset from the corresponding spectroscopic redshift. Some of these are due to bad degeneracy in the colour-redshift relations, but a significant fraction may be due to poor spectroscopic redshift identifications. If one cross-references the CFRS, DEEP and DEEP2 redshift catalogs, one find that there is a certain fraction of the spectroscopic redshifts which are discrepant.




Back to Stephen Gwyn's CFHTLS pages
Send comments/suggestions/problems to
gwyn@uvastro.phys.uvic.ca